解决方案
SOLUTION

时间: 2025-09-26
浏览量: 1051
利用微结构的机电行为提取机械性能
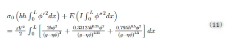
静电驱动的MEMS器件已广泛应用于各种传感和驱动,并可用于生物传感器或提取薄膜材料的力学性能。在过去的十年中,薄膜材料力学性能计算技术的所有重要发现都来自麻省理工学院的Senturia研究团队。关键在于推广器件的阈值电压和MEMS力学性能的实验公式。该技术的优点是阈值电压的测量简单;而缺点是实验公式必须结合某些测试微结构使用。如果器件发生变化,则公式也必须改变。在非理想边界(例如预变形或非均匀截面)下使用实验公式也很困难。与 Senturia 不同,胡 针对吸合电压近似解析模型,提出了微结构的非线性机电耦合系统,该模型涉及非理想边界、边缘电容效应和残余应力。胡还发展了一种用于测量薄膜材料力学性能的全电信号测试方法,可用于晶圆级测试,以检查微结构的杨氏模量和残余应力。参考文献提出了微测试梁杨氏模量、残余应力与吸合电压的关系公式,其中考虑了边缘场电容、微测试梁的分布特性和机电耦合效应的影响:

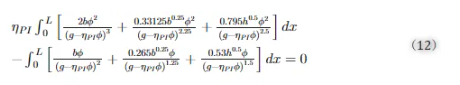
其中ηPI表示吸合状态下的η值,可表示为:

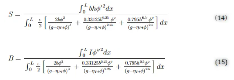
式(12)可用数值方法求解,将ηPI的值代入式(11),可得吸合电压VPI与结构材料参数σ0 、 E的关系为:

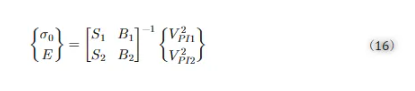
其中参数S和B取决于微测试梁的几何参数,具体如下:

其中,b、E、h、I、L和σ0分别代表梁的宽度、杨氏模量、厚度、梁横截面积惯性矩、梁长度和初始应力;ϕ为固定梁的第一阶固有模态。因此,只需代入测得的两个不同长度测试梁的吸合电压,即可轻松提取杨氏模量和残余应力:

该测试技术能够进行晶圆制造的在线测量和监控,并使用现有的半导体测量设备,因为它们适用于半导体和 MEMS 工艺。
4. 结论
由于静电驱动MEMS器件涉及多个能量域的耦合,其机电耦合分析十分复杂。此外,机电耦合效应会导致系统运行过程中的吸合不稳定性、非线性响应和可靠性问题。本文综述了静电驱动MEMS器件的相关文献,包括准静态吸合电压的物理模型(阐述残余应力、弹性边界、结构柔度、边缘场电容等物理量如何影响吸合电压)、动态特性分析(阐述系统运行时的动态行为)、空气阻尼效应(阐述空气阻尼系数与结构几何形状之间的关系)、可靠性(阐述各类器件的失效模式和失效机制)、数值建模方法(阐述如何生成最有效的降阶模型以拟合实际系统)及其应用。通过进一步理解这些重要课题之间的相互作用机制,有助于发展MEMS领域的优化技术和应用。
→ 立即预约 Coventor 仿真软件演示