解决方案
SOLUTION

时间: 2025-11-19
浏览量: 445
加速度计作为载体加速度的测量元件,根据其不同的工作原理,加速度计被细分为压电式、压阻式、电容式等多种类型。其中电容式MEMS加速度计作为微机电系统器件,凭借其低功耗、低成本、高度集成化以及接口电路设计的简易性,在众多领域得到了广泛应用中。高g值 MEMS 加速度计在汽车领域(如安全气囊展开)、生物动力学测量、颤振测试和高冲击测量中得到了广泛应用。而低g值 MEMS 加速度计则被用于平板电脑、遥控系统、智能手机、游戏系统等大量产品中国。
电容式 MEMS 加速度计主要有变间距和变面积两种形式,变间距式加速度计主要有三明治式、梳齿式和扭摆式,变面积式电容加速度计则有栅型电容式中。变间距加速度计的极板间距变化和阻尼特性,使得传感非线性较明显。变面积加速度计通过极板间距和交叠面积调节阻尼大小,尽寸控制和传感性能兼顾较为困难到。本文采用体硅微加工的变面积电容式加速度计,在惯性质量块的边缘设计了梳齿结构用于调节传感器的整体阻尼,利用圆孔阵列式设计提高传感器的灵敏度,并通过10~100g加速度仿真验证了该传感器具有较高的灵敏度和较低的横向灵敏度。
1 加速度计模型
电容式 MEMS 加速度计可简化为弹簧-质量块一阻尼器系统。该系统将载体加速度转化为质量块的惯性力,惯性力使得质量块和壳体间发生相对运动,进面转化为电信号,由此测得加速度的大小。弹簧-质量块-阻尼器系统模型,如图1所示。为提高所设计电容式MEMS加速度计的动态响应范围,在简化模型中设计四组弹簧和两个阻尼器,构成电容式MEMS加速度计深化模型,如图 2 所示。

图1 弹簧-质量块-阻尼器系统模型

图2 加速度计深化模型
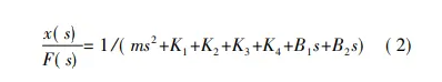
图2中K₁、K₂、K₃和K4分别表示四组弹簧的弹性模量,B₁和B₂,分别表示两个阻尼器的阻尼系数,χ为质量块与壳体间的相对位称。根据牛顿第二定律和胡克定律,可知加速度计监测外部振动产生的力学方程为:

式中:F为加速度计所受外力,m为质量块的质量;对式(1)进行拉氏变换可得:

式(2)为高动态范围加速度计的传递函数,根据所测加速度的设计上限,可计算系统各组件的尺寸和质量。
2 加速度计结构
2.1 气体阻尼原理
由于电容式 MEMS 加速度计的整体尺寸极小,具有较大的面积-体积比,因此空气粘滞性所产生的阻尼可作为 MEMS 加速度计的阻尼器。在常压情况下,空气阻尼可分为压膜阻尼和滑膜阻尼,图3为压膜气体阻尼示意图,图4为滑膜气体阻尼示意图,图中h为惯性电极和固定电极的间距。

图3 压膜气体阻尼示意图

图4 滑膜气体阻尼示意图
如图3所示,压膜气体阻尼的原理为:电极间发生相对运动,间距h发生变化,使得两电极间的气体压强改变,从而阻碍惯性电极的相对运动。如图4所示,滑膜气体阻尼的原理为:电极间发生相对运动,间距点不变,惯性电极带动周围气体发生运动,由此受到气体阻滞效应带来的阻碍作用。
在电容式 MEMS 加速度计对应到弹簧-质量块-阻尼器系统中,惯性电极为惯性质量块,固定电极为壳体,二者组成电容,电容间的空气阻尼为阻尼器,支撑梁为弹簧。显然变间距式加速度计为压膜气体阻尼,变面积式加速度计为滑膜气体阻尼。根据HHossaka和Coette的研究可知,在同尺寸结构中压膜气体阻尼往往大于滑膜气体阻尼,压膜阻尼结构的动态性能更为复杂,但压膜阻尼调节较为方便。
2.2 差分电容原理
变面积型电容式 MESMS 加速度计是将电容面积变化转化为电容值,进而求得加速度。变面积型加速度计中最常见的结构为差分电容结构,其原理如图5 所示。

图5 差分电容结构和电路原理图
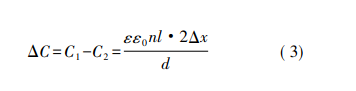
在图5(a)中,差分电容由惯性电极和一对固定电极组成,惯性电极与两块固定电极的电容分别为C₁和C₂。惯性电极发生距离为Δχ的滑移运动,电容面积差发生变化,进而使得C₁和C₂的电容差值发生变化。图5(b)为差分电容结构的电路原理图。在惯性电极滑移后,加速度计的电容变化值 ΔC 可以表示为:

式中:n为加速度计的电容对数;ε为相对介电常数:ε0为真空介电常数;l为电极交叠的长度;d为惯性电极与固定电容的间距。电容式加速度计为二阶阻尼系统,其加速度a与电容变化值ΔC的关系为:

式中:m为惯性质量块的质量;K为弹性梁的弹性模量。加速度计的结构确定时,式(4)中除α。与ΔC 外其他参数均为常数,由此可知在弹性范围内变面积型加速度计的始终是线性工作。
2.3 结构设计
综合上述分析,本文所设计的电容式加速度计在电容部分选择栅形变面积式结构以获得较好的传感线性度,同时在栅形惯性电极的边缘处增加梳齿结构,以获得额外且可调节的压膜气体阳尼,支撑梁选择U型梁结构。栅形电容结构示意图,如图6所示。新型差分梳状加速度计电容结构示意图,如图7所示.
对比图6和图7可知,新型梳齿电容式加速度计的梳齿方向与栅形惯性电极运动方向相同,在原有滑膜气体阻尼的条件下,通过梳齿结构额外增加了压膜气体阻尼。梳齿结构间的压膜空气阻尼由梳齿齿数、梳齿长度和梳齿宽度决定,可通过改变上述参数来调整加速度计的整体阻尼大小。

图6 栅形电脊结构图

图7 差分梳状电容结构图
3加速度计工艺仿真
在MEMS器件设计申需要借助仿真软件对MEMS的模块和结构进行设计,本文采用软件进行仿真,用编辑器创建、编辑和修改 MEMS 掩模设计。U型梁放置在 MEMS 加速度计(质量块)平面外,根据 MEMS 加速度的结构设计了 U型梁-惯性质量块掩模层、栅形电极掩模层和差分电极掩膜层。如图8所示。

图8 三种撞膜层仿真结构示意图
本文采用体硅微加工工艺制作加速度计,惯性质量块和基板材料分别为N型(100)双面光硅和派热克斯玻璃。制造流程包括光刻、溅射、硅玻瑞键合、深反应离子刻蚀工艺、等工艺,可通过内置动画模块查看制造工艺流程。制造工艺流程,如图9所示。

图9制造工艺流程
4 加速度计参数优化
4.1 横向灵敏度优化
横向灵敏度是指对于同一输人量,传感器的灵敏轴垂直于输人方向时的输出量与传感器灵敏轴平行于输人方向时的输出量之比。对于单轴传感器而言,横向灵敏度越小传感性能越好。在确定电容式 MEMS 加速度计的基本结构后,改变U型梁和惯性质量块的尺寸进行加速度仿真,利用Taguehi法对不同仿真结果分析,最终通过调整尺寸参数得到最优的横向灵敏度。设置9个内部结构不同的加速度计,定义X轴为加速度计的灵敏轴,Y轴为其垂直方向,加速度为100g时各结构的X轴位移和了轴位移仿真结果,如表1所示。

表1 不同结构下加速度计的 X轴位移、Y轴位移仿真结果
在表1申所设计的传感器结构共有U型梁长度、U型梁半径、质量块长度、质量块宽度四个参数,按照 Taguchi 优化法,每个参数设置3个不同的值并正交配置在结构编号1-9中。在上述结构中,结构5的横轴灵敏度最小为0.57%,在仿真结果中符合常规传感器横向灵敏度小于2%的需求。
4.2 灵敏度优化
由式(4)可知,在不改变加速度计结构尺寸的情况下,可通过降低惯性质量块的质量m来提高加速度计的灵敏度。在4.1节结构编号5的加速度计基础上,在其惯性质量块的非电极处刻蚀形成圆孔阵列降低质量m。从10-100g中均等设置10个沿X轴方向的加速度,分别进行仿真分析。
10-100g下,加速度计x轴和r轴的最大位移及相应横向灵敏度,如表2所示。

表2 加速度计X轴和Y轴的最大位移及横向灵敏度
在加速度为100g时,表1中结构编号5的X轴位移为7.8995μm,该结构在降低质量后表2中X轴位移为9.8482μm。对比可知通过刻蚀圆孔的方式降低惯性质量块的质量m,可有效提高传感器灵敏度。为直观分析,将表2中不同加速度下的X轴最大位移和横向灵敏度,分别绘制成折线图,如图 10 所示。

图10 不同加速度下X轴最大位移和横向灵敏度
从图10(a)中可知,在10-100s的加速度下,X轴位移与加速度呈线性关系,灵敏度约为0.0985 μm/g: 从图10(b) 中可知随着X轴方向加速度增加,横向灵徽度由0.57%逐渐降低至0.47%,且满足传感器灵敏度低于2%的设计需求,
5总结
本文提出了一种新型差分梳齿式电容MEMS加热特性进行综合考察。同时,通过布置绝热层实现上下热板温度的同步快速测量。通过与表面温度测量对比发现,模拟工况测量更精确且接近实际工况,针对不同热板尺寸和不同加热方式的硫化机的测量验证发现,本文所述的测量方案能更全面反映硫化机加热特性并指导具体硫化工艺机器的选用和硫化机温度控制的改进。
此方案下的温度测量结果,可以运用于具体材料硫化仿真时参数的输入和边界条件的限定,同时利用该方案的思路结合不同材料的比热容和热导系数,可以在具体材料不同厚度层均匀布置传感器测量真实硫化过程,获得硫化时材料内部不同厚度的温度时间曲线,为硫化过程控制、仿真验证和配方改进等提供定量参考。
免责申明:所有信息均源于网络,相关内容仅供参考学习,所有转载及汇编内容,均不代表本公众号赞同其观点,不能完全保证其真实性。如若本公众号无意侵犯媒体或个人知识产权,请私信联系,我们将立即予以删除。