解决方案
SOLUTION

时间: 2026-03-31
浏览量: 113
在各类惯性传感器中,加速度计因可精准测量加速度与振动占据重要地位,其中 MEMS 加速度计更是成为传统加速度计的核心替代方案。目前,将机械运动或加速度转化为电信号的技术路径多样,涵盖压阻式、压电式、热式和电容式等,而电容式加速度计凭借高灵敏度、优异的热稳定性、可测量恒定加速度的直流响应能力,以及低功耗等突出优势,成为该领域的研究与应用热点。
近期,伊朗科研人员研发出一款高性能紧凑型三轴电容式 MEMS 加速度计,器件尺寸仅为 0.65 × 0.65 mm²,在高灵敏度、低噪声与高精度(低非线性)三大核心性能维度实现了优异的综合表现,相关研究成果以 “Design and Simulation of a Compact Three-Axis Capacitive Accelerometer With Multiple Differential Proof Masses” 为题,发表于 IEEE Access 期刊。
这款三轴电容式 MEMS 加速度计的核心设计创新在于采用方形结构布局,能够最大化提升芯片面积利用率,大幅减少无效空白区域。器件搭载差分电容检测机制,针对不同轴向设计适配结构:x 轴与 y 轴采用梳齿电容结构,z 轴则为可动极板夹层式结构。同时,研发团队在 x 轴和 y 轴中分别引入两个独立的差分质量块,这一设计可有效抑制噪声、降低交叉轴灵敏度,进一步提升器件的整体检测灵敏度。

为验证该结构设计的可行性,同时实现 z 轴夹层式结构的工艺落地,研究人员提出了结合晶圆级封装的五掩模制备工艺。其中,针对横向(x/y 轴)的梳齿驱动结构,采用标准表面微机械加工工艺即可实现;而 z 轴传感器所需的刚性顶部固定电极,需通过异质集成方案完成,因此研究中引入了基于共晶键合的盖帽晶圆技术,保障了 z 轴结构的加工与性能实现。

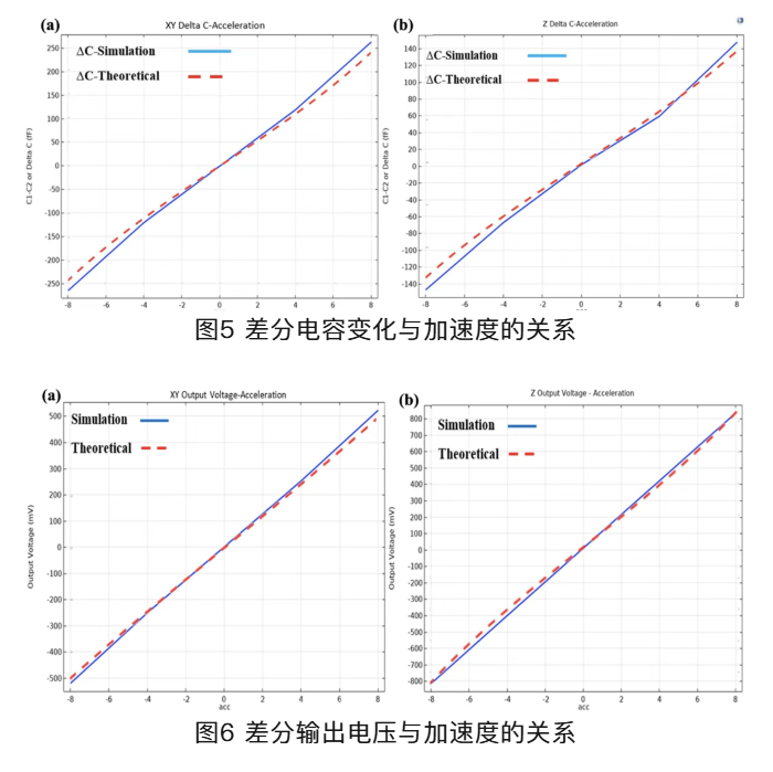
研究人员通过仿真手段,对该加速度计在 ±2g、±4g 和 ±8g 的加速度范围内开展性能评估,仿真结果与理论计算结果呈现出良好的一致性。分析数据显示,在 2.5 V 偏置电压下,该器件 x、y、z 三个方向的输出电压灵敏度分别达 65 mV/g、65 mV/g 和 102 mV/g;布朗噪声在 x/y 方向约为 6.7 μg/√Hz,z 方向约为 2.5 μg/√Hz。器件设计精度优异,理想非线性度极低,仅为 0.02%~0.04%,即便考虑实际生产中的工艺公差,仍能保持较强的鲁棒性,误差可控制在 1.1% 以内。应力分析结果表明,该结构工作时产生的最大应力约为 3.9 × 10⁶ N/m²,远低于材料屈服强度,有效保障了加速度计的机械稳定性;x、y、z 三轴的谐振频率则分别为 2475 Hz、2473 Hz 和 2496 Hz,优异的灵敏度与精度表现,让其适配各类高精度惯性测量场景。




综上,电容式 MEMS 加速度计凭借高灵敏度、热稳定性佳等优势成为主流,科研人员研发出 0.65×0.65mm² 的紧凑型三轴款,采用方形布局提升芯片利用率,结合差分电容检测与双差分质量块设计,优化了灵敏度与抗干扰性。五掩模制备工艺实现结构量产,仿真验证其在多加速度范围下性能优异,非线性低、机械稳定,适配惯性导航等高精度场景。Coventor 软件可完成 MEMS 器件到系统级的全流程仿真,精准建模并优化工艺性能,是研发 MEMS 加速度计的高效工具!